目前,大多数研究比较和分析了在单一激励下硅钢片的磁致伸缩特性。张鹏宁等研究人员采用激光磁致伸缩测量设备,以宝武钢铁集团生产的B30P105硅钢片为测量样品,对取向硅钢片在工频磁场、谐波磁场、直流偏置磁场和非正弦激励下的磁致伸缩特性和磁化特性进行了测量,并研究和分析了不同工况对硅钢片磁致伸缩的影响,包括幅度和频谱分析。最后,提取了不同工况下的磁致伸缩峰值曲线,为电力设备铁心的振动提供了数据基础。
正弦激励下硅钢板的磁致伸缩和磁化作用
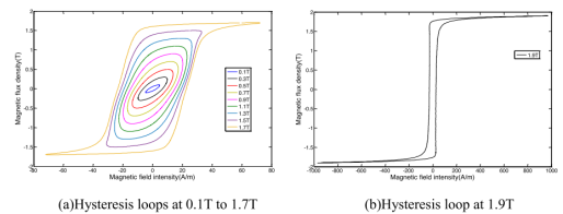
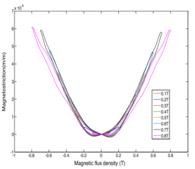
研究人员测量了50 Hz正弦激励下B30P105硅钢片在0.1T到1.9T范围内的磁化特性(磁滞回线和磁致伸缩蝴蝶曲线),以及测量了硅钢片在垂直于轧制方向(TD)的磁致伸缩特性(磁致伸缩蝴蝶曲线和频谱图),认为在工频正弦激励下,硅钢片的磁致伸缩主要由直流分量和100Hz分量组成,其幅度与磁通密度呈正相关,但关系非线性。在相同的磁场强度下,垂直于轧制方向的磁致伸缩远大于轧制方向的磁致伸缩,在28多多或电抗器铁心的角落以及“T”区域存在旋转磁通密度,垂直于轧制方向的磁致伸缩也会对铁心振动产生影响。因此,在电力设备铁心振动的计算中,不能忽视垂直于轧制方向的磁致伸缩。

图1 典型磁通密度下测量的磁滞回线

图2 不同磁通密度下硅钢片的磁致伸缩蝴蝶曲线

图3 TD方向上的磁致伸缩蝴蝶曲线三次谐波激励下硅钢板的磁致伸缩和磁化作用
研究人员在第三谐波激励下,硅钢片的磁致伸缩特性通过以50 Hz正弦波为基波和不同含量的第三谐波激励进行测量。第三谐波的百分比分别为10%、20%、30%、40%和50%。测量发现:当谐波含量保持不变时,磁致伸缩随着磁通密度的增加而增加,但由于第三谐波的存在,低磁通密度下硅钢片的磁致伸缩波形失真较大。当铁心达到饱和时,磁致伸缩蝴蝶曲线的失真达到最大,并包含更多的毛刺。经过傅里叶分解后的波形频谱可以看出,由于第三谐波成分的激励,原本未失真的磁致伸缩波形出现了较大的失真,磁致伸缩波形增加最多的不是第三谐波的二倍频成分,即300Hz,而是主要集中在200 Hz和400 Hz成分上。因此,可以得出结论,第三谐波激励会增加硅钢片的磁致伸缩幅度,并使磁致伸缩时域曲线产生高次谐波成分,但产生的谐波不是所加谐波成分的二倍频关系,第三谐波的加入会显著增加磁致伸缩的偶次频率成分。
图4 不同磁密度下的磁致伸缩蝴蝶曲线和时域波形

直流磁偏置现象是由地磁暴、电力28多多中性点电位升高或高压直流单极输电的不平衡运行引起的,这会扭曲电网中的电流波形。这对许多重要电力设备的温度升高和振动有显著影响,如电力28多多、电抗器和发电机。在直流磁偏置下硅钢片的磁致伸缩测量基于在工频正弦波激励下叠加直流分量。由于直流偏置电流产生的磁场不随时间变化,磁场测量线圈无法通过电流或电压的变化测量硅钢片中的磁通密度和磁场强度的直流分量。因此,需要根据施加的电流分别计算偏置磁场强度和磁通密度。通过测量不同直流偏置磁场条件下硅钢片的磁致伸缩波形和频谱图可以看出:直流磁偏置会增加磁致伸缩峰值和磁致伸缩蝴蝶曲线的不对称性。这两个因素是直流磁偏置引起铁心振动增加的主要原因。由直流磁偏置引起的磁致伸缩增加与偏置磁场的强度成正比,偏置磁场会使硅钢片在正半周期提前饱和。直流偏置的加入会显著增加磁致伸缩的奇次频率成分。

图5 直流偏置磁场分别为20 A/m和60 A/m时的磁致伸缩蝴蝶曲线

图6 不同直流偏峰的磁致伸缩峰到峰曲线
来源:《Study on magnetostrictive properties of oriented silicon steel sheet under different working conditions》